HYTRONIK HED8025-BT Bluetooth LED Driver Instruction Manual
Contents
Product Description
HED8025/BT
HED8030/BT

HED8040/BT

HED8025/BT & HED8030/BT are Bluetooth dimming and tunable white LED drivers, with maximum power output ranging from 25W to 40W. They all come with Switch-Dim interface by using Push switch (retractive switch) and of course Bluetooth dimming interface. It is ideal for direct projects or new luminaires design for lighting manufacturers. With Bluetooth wireless mesh networking, it makes communication between luminaires much easier without time-consuming hardwiring, which eventually saves costs for projects. Meanwhile, simple device setup and commissioning can be done via Koopmansh app.
Quick setup mode & advanced setup mode
Floorplan feature to simplify project planning
Web app/platform for dedicated project management
Koolmesh Pro iPad version for on-site configuration
Grouping luminaires via mesh network
Scenes
Detailed motion sensor settings
Push switch configuration
Schedule to run scenes based on time and date
Astro timer (sunrise and sunset)
Staircase function (primary & secondary)
Internet-of-Things (IoT) featured
Device rawaru update over-the-air (OTA)
Device social relations check
Bulk commissioning (copy and paste settings)
Power-on status (memory against power loss)
Offine commissioning
Different permission levels via authority management
Network sharing via QR code or keycode
Remote control via gateway support HBGW01
Interoperability with Hytronik Bluetooth product portfolio
Compatible with EnOcean switch EWSSB/EWSDB Continuous development in progress…
Switch-Dim with two Push inputs
PWM 1KHz (1-100%)
Insulated terminal cover with cord restraint
Active PFC design
Logarithmic Dimming
Linear Dimming
Configurable constant current (CC) output via DIP switch
Loop-in and loop-out terminals for efficient installation
Short-circuit Protection
Overload Protection
Open-circuit Protection
5-year warranty, designed for long lifetime up to 50,000 hours
* Certain scenes which require external photocell can be achieved by using together with Hytronik Bluetooth sensors,such as HBIR29, HCD038/BT + sensor head etc.

Fully support EnOcean self-powered switch module PTM215B (HBES01/W & HBES01/B)
Bluetooth 5.0 SIG mesh
Smartphone app for both iOS & Android platform
for iOS
Koolmesh Pro app for iPad
Web app/platform: www.iot.koolmesh.com

Output Configuration
HED8030/BT, 30W
HED8030/BT, 30W

HED8040/BT,1x40W
Warning: Please make sure the correct current is selected before starting the driver!
Technical Specifications
Bluetooth Transceiver
- Operation frequency: 2.4 GHz – 2.483 GHz
- Transmission power: 4 dBm
- Range (Typical indoor): 10~30m
- Protocol: 5.0 SIG Mesh
| Model No. | HED8025/BT | HED8030/BT | HED8040/BT | |
| Input | Mains Voltage | 220~240VAC 50/60Hz | ||
| Mains Current | 0.135~0.12A | 0.16~0.15A | 0.21~0.20A | |
| Power Factor | 0.9 | 0.95 | 0.95 | |
| Max. Efficiency | 88% | |||
| Output | Ripple Current | <3% | <3% | <3% |
| Uout Max. | 60V | 65V | 65V | |
| Turn-on Time | <0.5s | <0.5s | <0.5s | |
| Dimming Interface | Switch-Dim | |||
| Environment | Operation Temp. | -20 ~ +45℃ | -20 ~ +50℃ | -20 ~ +50℃ |
| Case Temp. (Max.) | 80℃ | 85℃ | 85℃ | |
| IP Rating | IP20 | IP20 | IP20 | |
| Model No. | HED8025/BT | HED8030/BT | HED8040/BT | |
| Safetyand EMC | EMC Standard | EN55015, EN61547, EN61000-3-2/-3-3, EN300328,EN301489-1/-17,EN62479 | ||
| Safety Standard | EN61347-1, EN61347-2-13 | |||
| Dielectric strength | Input→output: 3000VAC / 5mA /1min | |||
| Abnormal protection | Output short-circuit protection, Overload Protection, Open-circuit Protection | |||
| Model No. | Max. output power/current/voltage range | |||
| HED8025/BT | 2-13W/ 250mA /10-52V6-25W/ 600mA /10-42V | 3-16W/ 300mA /10-52V7-25W/ 700mA /10-35V | 4-18W/ 350mA /10-52V8-23W/ 750mA /10-30V | 5-25W/ 500mA /10-50V |
| HED8030/BT | 3-15W/300mA /10-50V5-25W/ 500mA /10-50V7-28W/ 700mA /10-40V | 3-18W/ 350mA /10-50V5-28W/550mA /10-50V | 4-20W/ 400mA /10-50V6-30W/ 600mA /10-50V | 4-23W/ 450mA /10-50V6-30W/ 650mA /10-46V |
| HED8040/BT | 2-18W/350mA /6-50V3-28W/550mA /6-50V4-38W/750mA /6-50V | 2-20W/ 400mA /6-50V3-30W/ 600mA /6-50V5-40W/ 800mA /6-50V | 2-23W/ 450mA /6-50V4-33W/ 650mA /6-50V5-40W/ 850mA /6-47V | 3-25W/ 500mA / 6-50V4-35W/ 700mA /6-50V5-38W/ 900mA /6-42V |
Mechanical Structure & Dimensions
HED8025/BT, 1x25W

Wire Preparation
To make or release the wire from the terminal, use a screwdriver to push down the button.
Wiring Diagram
Model: HED8025/BT
Note: CH1 & CH2 are working independently, meaning that they cannot be used with luminaires that share “+”.
There is no need for any hardwirings on “push” terminal between one driver to another. The installer only needs to connect the push switches to the nearest driver to save labor and cost. The push switches can be assigned to control any Bluetooth driver through the app commissioning.
Model: HED8030/BT
Note: CH1 & CH2 are working independently, meaning that they cannot be used with luminaires that share “+”.
There is no need for any hardwirings on “push” terminal between one driver to another. The installer only needs to connect the push switches to the nearest driver to save labor and cost. The push switches can be assigned to control any Bluetooth driver through the app commissioning
Model: HED8040/BT

Note: CH1 & CH2 are working independently, meaning that they cannot be used with luminaires that share “+”.
There is no need for any hardwirings on “push” terminal between one driver to another. The installer only needs to connect the push switches to the nearest driver to save labor and cost. The push switches can be assigned to control any Bluetooth driver through the app commissioning.
Loading and In-rush Current
| Model | HED8025/BT |
| In-rush Current (Imax.) | 25.8A |
| Pulse Time | 70 µs |
Circuit Breaker Information
| Automatic circuit breaker type | B16A | B10A | B13A | B20A | B25A |
| HED8025/BT | 73 | 46 | 59 | 92 | 115 |
| HED8030/BT | 61 | 38 | 49 | 76 | 95 |
| HED8040/BT | 46 | 29 | 38 | 58 | 73 |
The data above is calculated according to the formula: Maximum Amount = 16/(Pn/230). In order to provide a more reliable reference in real application, the data have been revised to take 60% of the number calculated, i.e. 16/(Pn/230) x 60%. Please kindly take note that the calculation is based on ABB circuit breaker series S200. Actual values may differ due to different types of circuit breaker used and installation environment.
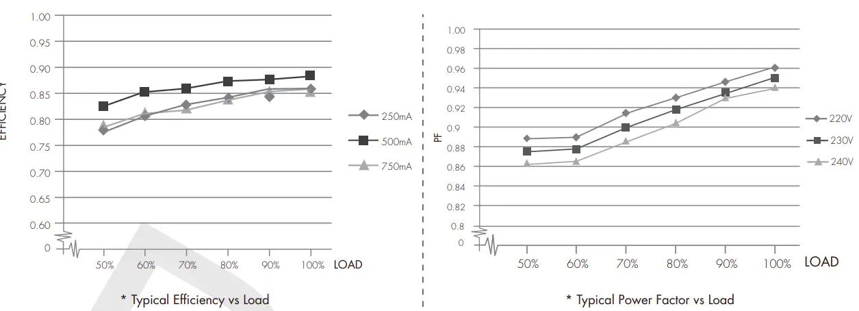
Performance Characteristics
HED8025/BT

HED8030/BT

HED8040/BT

Dimming Characteristics

Dimming Interface Operation Notes
Switch-Dim The provided Switch-Dim interface allows for a simple dimming method using commercially available non-latching (momentary) wall switches. Up to 64 LED drivers maybe connected to one switch. Detailed Push switch configurations can be set on Kool mesh app.
| Switch Function | Action | Descriptions |
| Push switch | Short press (<1 second)* Short press has to be longer than 0.1s, or it will be invalid. | – Turn on/off – Recall a scene- Turn on only – Exit manual mode- Turn off only – Do nothing |
| Double push | – Turn on only – Exit manual mode- Turn off only – Do nothing- Recall a scene | |
| Long press (≥1 second) | – Dimming- Colour tuning- Do nothing | |
| Simulate sensor | / | – Upgrade a normal on/off motion sensor to a Bluetooth controlled motion sensor |
Additional Information / Documents
- Regarding precautions for LED driver installation and operation, please kindly refer to www.hytronik.com/download ->knowledge ->LED Drivers – Precautions for Product Installation and Operation
- To learn more about detailed product features/functions, please refer to www.hytronik.com/download->knowledge ->Introduction of App Scenes and Product Functions
- Regarding precautions for Bluetooth product installation and operation, please kindly refer to
www.hytronik.com/download ->knowledge ->Bluetooth Products – Precautions for Product Installation and Operation - Data sheet is subject to change without notice. Please always refer to the most recent release on
www.hytronik.com/products/bluetooth technology ->Bluetooth Drivers - Regarding Hytronik standard guarantee policy, please refer to www.hytronik.com/download ->knowledge ->Hytronik Standard Guarantee Policy
Subject to change without notice. Edition: 25 Mar. 2021 Ver. Draft Page 8/8

